K倍区间
k倍区间
题目描述
给定一个长度为 $N$ 的数列, $A_1, A_2, \cdots A_N$。如果其中一段连续的子序列 $A_i, A_{i+1}, \cdots A_j (i \le j)$ 之和是 $K$ 的倍数,我们就称这个区间 $[i, j]$ 是 K 倍区间。
你能求出数列中总共有多少个 $K$ 倍区间吗?
输入描述
第一行包含两个整数 $N$ 和 $K$ $(1 \le N, K \le 10^5)$。
以下 $N$ 行每行包含一个整数 $A_i$ $(1 \le A_i \le 10^5)$。
输出描述
输出一个整数,代表 K 倍区间的数目。
输入输出样例
示例
输入
|
输出
|

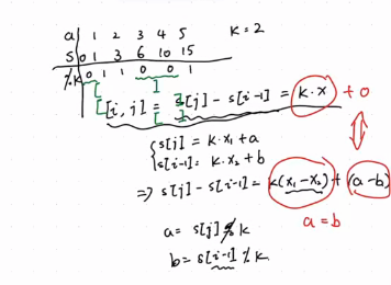
- 前缀和:计算数组的前缀和 $S$。
- 同余定理:如果区间 $[i, j]$ 的和是 $K$ 的倍数,即 $(S_j - S_{i-1}) \% K == 0$,这意味着 $S_j \% K == S_{i-1} \% K$。
- 转化:只需要计算前缀和模 $K$ 的余数。如果有 $c$ 个前缀和的余数相同(比如都是 1),那么从这 $c$ 个位置中任选 2 个($C_c^2$),它们之间的区间和就是 $K$ 的倍数。
```cpp
include
include
using namespace std;
int main()
{
int N,K,sum=0;
cin>>N>>K;
vector
vector
for(int i=1;i<=N;i++)
cin>>arr[i];
for(int i=1;i<=N;i++)
arr[i]=(arr[i-1]+arr[i])%K;
for(auto &x:arr)
cnt[x]++;
for(auto &c:cnt)
sum+=(c-1)*c/2;
cout<<sum;
}
本博客所有文章除特别声明外,均采用 CC BY-NC-SA 4.0 许可协议。转载请注明来源 Zedward'Blog!
评论
